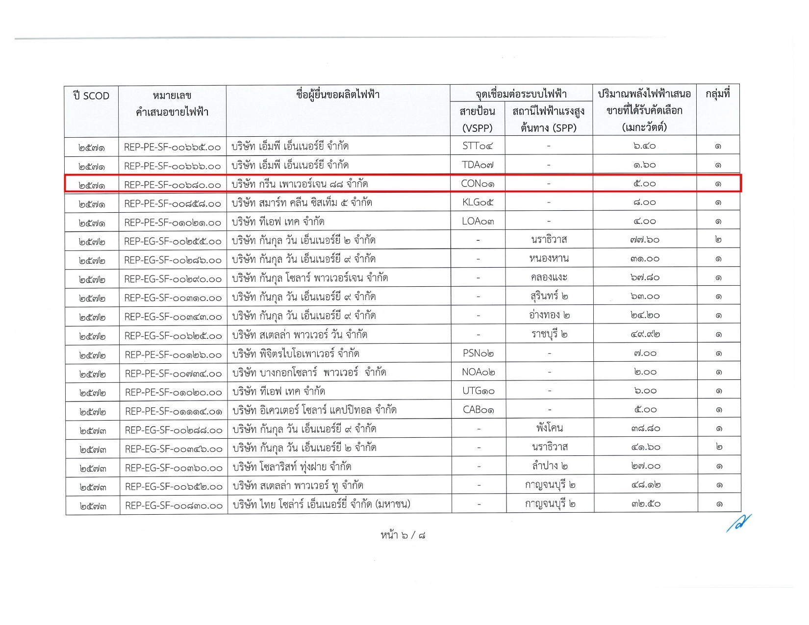
3 บริษัทในกลุ่ม บจก.แบมบูฟาร์ม ได้รับการคัดเลือกผู้ยื่นขอผลิตไฟฟ้า พลังงานแสงอาทิตย์แบบติดตั้งบนพื้นดิน

เมื่อวันที่ 5 เมย 2566 สำนักงานคณะกรรมการกำกับกิจการพลังงาน (สำนักงาน กกพ.) ได้ประกาศรายชื่อผู้ยื่นขอผลิตไฟฟ้าที่ได้รับการคัดเลือก ตามระเบียบ คณะกรรมการกำกับกิจการพลังงาน ว่าด้วยการจัดหาไฟฟ้าจากพลังงานหมุนเวียนในรูปแบบ Feed-in Tariff (FiT) ปี 2565 – 2573 สำหรับกลุ่มไม่มีต้นทุนเชื้อเพลิง พ.ศ2565 โดยระยะแรกที่เปิดรับซื้อ 5,203 เมกะวัตต์ ซึ่งมีผู้ผ่านการคัดเลือก จำนวน 175 ราย รวม 4,852.26 เมกะวัตต์เท่านั้น ซึ่งบริษัทในกลุ่มของ บริษัท แบมบูฟาร์ม ได้แก่

ได้รับการคัดเลือก ขอผลิตไฟฟ้า พลังงานหมุนเวียนในรูปแบบ Feed-in Tariff (FiT) ปี 2565 – 2573 สำหรับพลังงานแสงอาทิตย์แบบติดตั้งบนพิ้นดิน พ.ศ 2565 โดยมีปริมาณพลังไฟฟ้าเสนอขายที่ได้รับคัดเลือก รวมทั้งสิ้น 20.96 เมกะวัตต์

ประกาศผลผู้ได้รับการคัดเลือก Solar farm project 2023
บริษัท กรีนเพาเวอร์เจน จำกัด
ประกาศผลผู้ได้รับการคัดเลือก Solar farm project 2023
ประกาศผลผู้ได้รับการคัดเลือก Solar farm project 2023
ประกาศผลผู้ได้รับการคัดเลือก Solar farm project 2023
ประกาศผลผู้ได้รับการคัดเลือก Solar farm project 2023
โครงการพืชทางเลือกเพิ่มรายได้ด้วยไผ่ อ.ท้ายเหมือง จ.พังงา
www.bamboofarm.org